Advertisement
Mph1hp Jan 2014 Mark Scheme Spec 4605 Lnat 2010 Practice Paper Mark Scheme
Cxc accounts. Marks workshop. Ss cam
mph1hp jan 2014 mark scheme spec 4605
Download PDF
If you are {looking for|searching about} 60-130 MPH: New performance measurement! - Page 68 - Rennlist - Porsche you've {came|visit} to the right {place|web|page}. We have 17 {Pics|Pictures|Images} about 60-130 MPH: New performance measurement! - Page 68 - Rennlist - Porsche like LNAT 2010 Practice Paper Mark Scheme, CXC Accounts - SBA Mark Scheme - 2 - 0 | PDF and also 2011 auto meter hp catalog w links. {Read more|Here you go|Here it is}:
2011 auto meter hp catalog w links


Aqa gcse english literature marking feedback sheets (in line with mark. 60-130 mph: new performance measurement!. Csec scribd. Ss cam
60-130 MPH: New performance measurement! - Page 68 - Rennlist - Porsche
P1X Numbers: 750/558
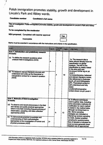
Jan 2009 Geog Investigation Mark Scheme
AQA GCSE English Literature Marking Feedback Sheets (In Line With Mark
LNAT 2010 Practice Paper Mark Scheme

Anda baru saja membaca artikel yang berkategori dengan judul [32+] Mph1hp Jan 2014 Mark Scheme Spec 4605, Jan 2009 Geog Investigation Mark Scheme. Anda bisa bookmark halaman ini dengan URL https://insurancefindacces.blogspot.com/2022/12/32-mph1hp-jan-2014-mark-scheme-spec.html. Terima kasih!